Taking Magnets on an Airplane

Learn how to take magnets on a plane and what rules to follow

There are rules about how to ship magnets by air, including limits of strength, how to package them etc. Let's take a closer look at what this really means when you're shipping magnets, and some practical advice on how to comply with these rules. We'll measure magnetic fields with super sensitive sensors, a rudimentary compass and a DIY sensor built with an Arduino.

Two Rules

Magnet pole, compass and horseshoe magnet
A strong magnet can deflect a compass needle, causing incorrect readings.

These rules are covered in more detail in our earlier article about Shipping Magnets, but let's review

1. If the field strength is 5.25 milligauss or more at 15 feet away from the package, it's too strong to ship via air.

2. If the field strength is 5.25 milligauss or more at 7 feet away from the package, it must be labeled as, "magnetized material." See IATA Packing Instruction 953 for details.

The second rule used to be 2 milligauss, but the rule was relaxed a few years ago.

When we ship magnets by air, we aim to fall below both of these limits. Taking care to keep below rule 2 avoids the necessity of labeling the package as magnetic. There are other requirements mentioned in the spec that we haven't spelled out here for simplicity's sake.

Where do these specific numbers come from?

IATA logo
The International Air Transport Association creates standards for airlines and air travel.

Why 5.25 milligauss? This number comes from the International Air Transport Association's (IATA) rules about shipping. They are the folks concerned with the safe operation of aircraft. Even in the age of GPS, the magnetic compass is still an important part of aircraft operation and navigation.

They figure that 5.25 gauss is about what it takes to make a compass show an error of 2 degrees. Anything less than a 2 degree error is deemed OK.

If you have a copy of the Dangerous Goods Regulations, reference section 3.9.2.2 Magnetized Material and Packing Instruction 953, which applies to UN 2807, magnetized material on passenger and cargo aircraft.

Do I have to worry about this?

UPS shipping options

If you're buying magnets from K&J Magnetics with shipment via air, it's not your problem. It's our job to make sure magnets are packaged properly and fall below those limits.

If you are shipping magnets or a product with magnets in it, then it's worth a moment of thought. What follows are various ways to check your shipment, starting with the simplest method and moving to those requiring more expense or effort.

Calculate it

Magnet calculator icon
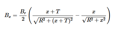
Estimate field strength at 7 ft away from a single magnet in free space using our online calculator or the formula.
Field strength formula

As mentioned in our previous shipping article, it's not hard to calculate the field strength at 7' away for a single magnet in free space. There's a formula for it, or you can plug numbers into our online calculator.

If you're shipping a few small magnets, say 1/2" or less in size, you're probably way below these limits. Even if you have several magnets, multiple magnets arranged in alternating stacks tend to project a much weaker field than a single magnet. There is more to learn, but it typically isn't the case that 100 magnets make a field 100x stronger than a single magnet.

Measure it

Measuring field strength of magnet
With the sensor placed 7 feet away, we find a ZD10 magnet is well over the 5.25 milligauss limit.

If you regularly ship magnetic assemblies, it is probably worth investing in a calibrated meter to measure this properly, as defined in the IATA spec. Such devices typically cost hundreds of dollars, but it's the way to follow the letter of the law.

At K&J Magnetics, we don't sell such equipment, but we use it ourselves. See the video to watch an example of how it's done. Here is a link to the Air Shipment Milligauss Meter we used.

Measure it, but I don't have the equipment

What if you want to ensure that your shipment of magnets meets these requirements, but can't justify purchasing such a meter? That's the interesting magnetic question we want to answer.

My smartphone has a magnetic sensor - can I measure with it?

Modern smartphones do include a magnetic sensor. They're used as a compass reference, and as part determining the orientation of the phone. Modern operating systems (iOS, Android) combine magnetometer, accelerometer and rotation rate sensors to come up with a good estimate of the phone's orientation and direction.

Unfortunately, the inexpensive sensors used in most phones are not sensitive enough to measure this tiny change in magnetic field strength. They're great at measuring the earth's 0.5 gauss field, but changes down in the 0.005 gauss range are lost in the noise.

Measuring 5.25 milligauss is a technical challenge. It requires some expensive measurement devices and serious calibration. Is there an easier way? There might be. The origins of this spec come from a very simple idea: Will this magnet sitting in a box in the cargo area of an aircraft disturb the compass by more than 2 degrees?

Can we just use a compass?

Measuring magnetic field with device
With a camera to zoom in on the compass, we find a ZD10 magnet deflects the needle more than 2 degrees.

A compass we have on hand isn't quite readable down at that scale. The IATA spec says to use a compass that has markings every 2 degrees, but preferably every one degree. This one is marked every 15 degrees. It's hard to see a 2 degree change just looking at it.

A larger compass with more finely marked degrees would make it easier. To test the idea with the compass we have, we needed a way to read its measurement down to the degree. We solved this challenge with a camera plugged into a large LCD display. By seriously blowing up the size, we can see small changes much more easily.

We grabbed a 1" diameter x 2" tall DX0Y0 magnet for our testing, since the formula predicts a 5.4 milligauss field strength at 7 feet - just over the limit. We placed it 7 feet away from our compass along an east-west line. By rotating the magnet around, we could observe how much the compass deflected. Sure enough, it deflected by about 2 degrees as predicted. Physics works! Those folks over at the IATA must know what they were talking about.

This method isn't as accurate as a good meter. We wouldn't bet on discerning the difference between 1.9 and 2.1 degrees with such a crude setup. Even so, it's a good way to actually measure your magnet shipment and get a good sense of what's going on. If you see the compass deflecting by 5 degrees, you've got some work to do. If the compass needle doesn't move at all, you're likely to be below the limit.

A DIY solution with Arduino

Magnet on opposite side of table from sensors
Our device beeps when the virtual compass deflects more than 2 degrees.
Circuit boards connected with wires Electrical diagram

We've had this magnetic sensor laying around, just looking for an excuse to play with it. Can we use it to make a magnetic shipping checker?

The sensor isn't quite accurate enough to measure a 5 milligauss change in field strength. It's much like the sensors in your smartphone. Built to sense the orientation of the device, it's good at sensing Earth's 500 milligauss field. Such small field strength changes are lost in the sensor's noise.

We can use it to calculate compass direction and forget trying to see that strength change. We only have to see if the compass direction changes by two degrees.

This device reads the magnetic field strength in the X and Y directions and computes a virtual compass heading. It's still pretty noisy, but it is just barely good enough to sense that 2 degree compass change.

Build Overview

We used an Arduino (what is Arduino?), Adafruit sensor, a buzzer and a display board that includes a few buttons. You could do it without the display with a little modification.

Instructions

Apply power to the device. We just plugged it into a laptop in the video, but you could just as well power it with batteries.

For the first 15-20 seconds after power-on, we need to do a calibration. These sensors aren't perfect, so we need to, "zero it out." Keeping the device flat on a horizontal surface, rotate it around 360 degrees within this time to complete the calibration.

Once calibration is complete, the display should indicate the direction the X arrow (on the sensor board) is pointing, as a number from 0 to 360. Turn the sensor until it points north.

Press the SELECT button to zero it on the heading. It sometimes helps to do this more than once. Now, as long as the zeroed reading doesn't drift, you can measure magnets. If it does drift a little without any magnet nearby, you can zero it out again.

Place the magnet/shipment 7 feet away to the east or west of the sensor, and slowly rotate it around. If the Arduino senses a compass direction change of more than 2 degrees, it should beep.

Check out the video to see it in action!

NOTE: Don't use a smartphone compass app to try and see a 2 degree compass change. Most of those apps aim to provide a stable compass by incorporating magnetometer sensor data with accelerometer and gyroscopic sensors. If you hold the phone perfectly still and put a magnet near it, you might not see ANY change in the direction. The app's programming might think that changing magnetic field is stray noise, and ignore it. Most of those compass apps are not a purely magnetic compass.